Bufotalin

Bufotalin
Names
IUPAC name
3β,14-Dihydroxy-5β-bufa-20,22-dienolid-16β-yl acetate
Systematic IUPAC name
(1R,2S,3aS,3bR,5aR,7S,9aS,9bS,11aR)-3a,7-Dihydroxy-9a,11a-dimethyl-1-(1-oxo-1H-oxan-5-yl)hexadecahydro-1H-cyclopenta[a]phenanthren-2-yl acetate
Identifiers
3D model (JSmol)
ChEBI
ChEMBL
ChemSpider
KEGG
UNII
  • InChI=1S/C26H36O6/c1-15(27)32-21-13-26(30)20-6-5-17-12-18(28)8-10-24(17,2)19(20)9-11-25(26,3)23(21)16-4-7-22(29)31-14-16/h4,7,14,17-21,23,28,30H,5-6,8-13H2,1-3H3/t17-,18+,19+,20-,21+,23+,24+,25-,26+/m1/s1 checkY
    Key: VOZHMAYHYHEWBW-NVOOAVKYSA-N checkY
  • InChI=1/C26H36O6/c1-15(27)32-21-13-26(30)20-6-5-17-12-18(28)8-10-24(17,2)19(20)9-11-25(26,3)23(21)16-4-7-22(29)31-14-16/h4,7,14,17-21,23,28,30H,5-6,8-13H2,1-3H3/t17-,18+,19+,20-,21+,23+,24+,25-,26+/m1/s1
    Key: VOZHMAYHYHEWBW-NVOOAVKYBX
  • CC(=O)O[C@H]1C[C@@]2(C3CC[C@@H]4C[C@H](CC[C@@]4(C3CC[C@@]2([C@H]1C5=COC(=O)C=C5)C)C)O)O
Properties
C26H36O6
Molar mass 444.568 g·mol−1
Appearance crystalline solid
Hazards
Occupational safety and health (OHS/OSH):
Main hazards
Toxic
Lethal dose or concentration (LD, LC):
4.13 mg·kg−1 (mouse, IV)

0.4 mg·kg−1 (mouse, SC)
0.136 mg·kg−1 (cat, IV)[1]

Except where otherwise noted, data are given for materials in their standard state (at 25 °C [77 °F], 100 kPa).
checkY verify (what is checkY☒N ?)
Infobox references

Bufotalin is a cardiotoxic bufanolide steroid, cardiac glycoside analogue, secreted by a number of toad species.[2][3] Bufotalin can be extracted from the skin parotoid glands of several types of toad.

Sources

Rhinella marina (Cane toad), Rhaebo guttatus (Smooth-sided toad), Bufo melanostictus (Asian toad), and Bufo bufo (common European toad) are sources of bufotalin.[2][3][4]

Traditional medicine

Bufotalin is part of Ch'an Su, a traditional Chinese medicine used for cancer. It is also known as Venenum Bufonis or senso (Japanese).[5]

Toxicity

Specifically, in cats the lethal median dose is 0.13 mg/kg.[1] and in dogs is 0.36 mg/kg (intravenous).[6]

Knowing this it is advisable to monitor those functions continuously using an EKG. As there is no antidote against bufotalin all occurring symptoms need to be treated separately or if possible in combination with others. To increase the clearance theoretically, due to the similarities with digitoxin, cholestyramine, a bile salt, might help.[6] Recent animal studies have shown that taurine restores cardiac functions.[7]

Symptomatic measures include lignocaine, atropine and phenytoin for cardiac toxicity and intravenous potassium compounds to correct hyperkalaemia from its effect on the Na+/K+ ATPase pump.[6]

Pharmacology and mechanism of action

After a single intravenous injection, bufotalin gets quickly distributed and eliminated from the blood plasma with a half-time of 28.6 minutes and a MRT of 14.7 min. After 30 minutes after an administration of bufotalin, the concentrations within the brain and lungs are significantly higher than those in blood and other tissues.[8] It also increases cancer cell's susceptibility to apoptosis via TNF-α signalling by the BH3 interacting domain death agonist and STAT proteins.[9]

Bufotalin induces apoptosis in vitro in human hepatocellular carcinoma Hep 3B cells and might involve caspases and apoptosis inducing factor (AIF).[10] The use of bufotalin as a cancer treating compound is still in the experimental phase. It also arrests cell cycle at G(2)/M, by up- and down- regulation of several enzymes.

Pharmacokinetics

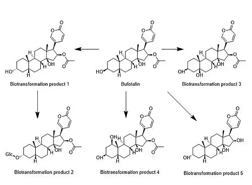
The mechanism of the biotransformation of bufotalin is still unknown. Researches found, that bufotalin is biotransformed into at least 5 different compounds.[11]

The five known biotransformation products of bufotalin.

Chemical properties

If bufotalin is esterified with suberyl arginine, the bufotalin-like steroid bufotoxin is obtained.[12]

References

  1. ^ a b "Datasheet: Bufotalin sc-202509" Santa Cruz Biotechnology, Inc.http://datasheets.scbt.com/sc-202509.pdf
  2. ^ a b Kwan, T; Paiusco, AD; Kohl, L (September 1992). "Digitalis toxicity caused by toad venom" (PDF). Chest. 102 (3): 949–50. doi:10.1378/chest.102.3.949. PMID 1325343. Archived from the original (PDF) on 2014-10-11. Retrieved 2014-03-05.
  3. ^ a b Jan, SL; Chen, FL; Hung, DZ; Chi, CS (November–December 1997). "Intoxication after ingestion of toad soup: report of two cases". Zhonghua Minguo Xiao Er Ke Yi Xue Hui Za Zhi. 38 (6): 477–80. PMID 9473822.
  4. ^ Ferreira, PM; Lima, DJ; Debiasi, BW; Soares, BM; Machado Kda, C; Noronha Jda, C; Rodrigues Dde, J; Sinhorin, AP; Pessoa, C; Vieira GM, Jr (September 2013). "Antiproliferative activity of Rhinella marina and Rhaebo guttatus venom extracts from Southern Amazon". Toxicon. 72: 43–51. doi:10.1016/j.toxicon.2013.06.009. PMID 23796725.
  5. ^ Zhang, DM; Liu, JS; Tang, MK; Yiu, A; Cao, HH; Jiang, L; Chan, JY; Tian, HY; Fung, KP; Ye, WC (October 2012). "Bufotalin from Venenum Bufonis inhibits growth of multidrug resistant HepG2 cells through G2/M cell cycle arrest and apoptosis". European Journal of Pharmacology. 692 (1–3): 19–28. doi:10.1016/j.ejphar.2012.06.045. PMID 22841670.
  6. ^ a b c Spoerke, DG (November 1986). "Toad Toxins".
  7. ^ Ma, Hongyue; Jiang, J; Zhang, J; Zhou, J; Ding, A; Lv, G; Xu, H; You, F; Zhan, Z; Duan, J (January 2012). "Protective effect of taurine on cardiotoxicity of the bufadienolides derived from toad (Bufo bufo gargarizans Canto) venom in guinea-pigs in vivo and in vitro". Toxicology Mechanisms and Methods. 22 (1): 1–8. doi:10.3109/15376516.2011.583295. PMID 22150009. S2CID 7187045.
  8. ^ Yu, CL; Hou, HM (25 December 2010). "Plasma pharmacokinetics and tissue distribution of bufotalin in mice following single-bolus injection and constant-rate infusion of bufotalin solution". European Journal of Drug Metabolism and Pharmacokinetics. 35 (3–4): 115–121. doi:10.1007/s13318-010-0017-6. PMID 21302038. S2CID 27185931.
  9. ^ Waiwut, P; Inujima, A; Inoue, H; Saiki, I; Sakurai, H (January 2012). "Bufotalin sensitizes death receptor-induced apoptosis via Bid- and STAT1-dependent pathways" (PDF). International Journal of Oncology. 40 (1): 203–8. doi:10.3892/ijo.2011.1182. PMID 21887462.
  10. ^ Su, CL; Lin, TY; Lin, CN; Won, SJ (14 January 2009). "Involvement of Caspases and Apoptosis-Inducing Factor in Bufotalin-Induced Apoptosis of Hep 3B Cells". Journal of Agricultural and Food Chemistry. 57 (1): 55–61. doi:10.1021/jf802769g. PMID 19055367.
  11. ^ Zhang, X; Ye, M; Dong, YH; Hu, HB; Tao, SJ; Yin, J; Guo, DA (October 2011). "Biotransformation of bufadienolides by cell suspension cultures of Saussurea involucrata". Phytochemistry. 72 (14–15): 1779–85. Bibcode:2011PChem..72.1779Z. doi:10.1016/j.phytochem.2011.05.004. PMID 21636103.
  12. ^ Müller-Schwarze, D (2006). Chemical ecology of vertebrates. Cambridge: Cambridge University Press. p. 255. ISBN 978-0521363778.