Butacaine
![]() | |
| Names | |
|---|---|
| Preferred IUPAC name
3-(Dibutylamino)propyl 4-aminobenzoate | |
| Identifiers | |
3D model (JSmol)
|
|
| ChEMBL | |
| ChemSpider | |
| ECHA InfoCard | 100.005.214 |
PubChem CID
|
|
| UNII | |
CompTox Dashboard (EPA)
|
|
| |
| |
| Properties | |
| C18H30N2O2 | |
| Molar mass | 306.450 g·mol−1 |
Except where otherwise noted, data are given for materials in their standard state (at 25 °C [77 °F], 100 kPa).
Infobox references
| |
Butacaine is a white crystalline ester used as a local anesthetic.[1] It was first marketed in the 1920's.[1]
Synthesis
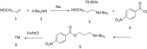
The addition of metallic sodium to a mixture of allyl alcohol (1) and dibutylamine (2)[2] gives the conjugate addition product 3-dibutylamino-1-propanol (3). Reaction of this intermediate with p-nitrobenzoyl chloride (4) gives the ester 5. A Béchamp reduction of the nitro group completes the synthesis of butacaine (6).[3][4][5][6][7][8]

Synthesis of butacaine
See also
References
- ^ a b "Butacaine". Inxight Drugs. National Center for Advancing Translational Sciences.
- ^ Kurihara, Tozaburo; Niwa, Hiroshi; Chiba, Katsuichi (1954). "Synthesis of γ-Alkylaminopropanols". Yakugaku Zasshi. 74 (7): 763–766. doi:10.1248/yakushi1947.74.7_763.
- ^ Burnett, W. B.; Jenkins, R. L.; Peet, C. H.; Dreger, E. E.; Adams, Roger (1937). "Dialkylaminoalkanol Esters of p-Aminobenzoic Acid". Journal of the American Chemical Society. 59 (11): 2248–2252. doi:10.1021/ja01290a041.
- ^ Kaye, Irving Allan; Roberts, I. Melville (1951). "Dialkylaminoalkyl Esters of 2-Amino-6-carboxybenzothiazole". Journal of the American Chemical Society. 73 (10): 4762–4764. doi:10.1021/ja01154a084.
- ^ Oliver Kamm, Roger Adams, Volwiler Ernest H., U.S. patent 1,358,751 (1920 to Abbott Lab)
- ^ Adams Roger, Ernest H Volwiler, U.S. patent 1,676,470 (1928 to Abbott Lab)
- ^ Weston Arthur W, U.S. patent 2,437,984 (1948 to Abbott Lab)
- ^ Anon., GB 191122 (1922-12-27 to Abbott Lab).
