Ethonam

Ethonam
Identifiers
  • Ethyl 3-(1,2,3,4-tetrahydronaphthalen-1-yl)imidazole-4-carboxylate
CAS Number
PubChem CID
ChemSpider
UNII
KEGG
ChEMBL
CompTox Dashboard (EPA)
Chemical and physical data
FormulaC16H18N2O2
Molar mass270.332 g·mol−1
  (verify)

Ethonam is an antifungal agent.

Synthesis

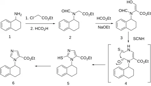
Ethonam synthesis:[1]

2-Aminotetralin () is alkylated with ethylchloroacetate to afford the glycine derivative. Heating with formic acid then affords the amide (2). This compound is then reacted with ethyl formate to yield hydroxymethylene ester (3). Reaction with isothiocyanic acid gives the imidazole-2-thiol (5). The sequence may first involve hydrolysis of the formamido group, followed by addition of the amine to isothiocyanic acid; cyclization of the thiourea nitrogen with the formyl function would complete formation of the heterocycle. Desulfurization by means of Raney nickel finishes the synthesis of ethonam (6).

References

  1. ^ Godefroi EF, Van Cutsem J, Van Der Eycken CA, Janssen PA (November 1967). "1-(1-indanyl)- and 1-(1-tetralyl)imidazole-5-carboxylate esters, a novel type of antifungal agents". Journal of Medicinal Chemistry. 10 (6): 1160–1. doi:10.1021/jm00318a039. PMID 6056048.