Lugiato–Lefever equation
The numerical models of lasers and the most of nonlinear optical systems stem from Maxwell–Bloch equations (MBE). This full set of Partial Differential Equations includes Maxwell equations for electromagnetic field and semiclassical equations of the two-level (or multilevel) atoms. For this reason the simplified theoretical approaches were developed for numerical simulation of laser beams formation and their propagation since the early years of laser era.[1] The Slowly varying envelope approximation of MBE follows from the standard nonlinear wave equation with nonlinear polarization as a source:[2]
where :
resulting in the standard "parabolic" wave equation:
- , under conditions :
and .
The averaging over longitudinal coordinate results in "mean-field" Suchkov-Letokhov equation (SLE) describing the nonstationary evolution of the transverse mode pattern.[3]
The model usually designated as Lugiato–Lefever equation (LLE) was formulated in 1987 by Luigi Lugiato and René Lefever [4] as a paradigm for spontaneous pattern formation in nonlinear optical systems.[5][6][7] The patterns originate from the interaction of a coherent field, that is injected into a resonant optical cavity, with a Kerr medium that fills the cavity.
The same equation governs two types of patterns: stationary patterns that arise in the planes orthogonal with respect to the direction of propagation of light (transverse patterns) and patterns that form in the longitudinal direction (longitudinal patterns), travel along the cavity with the velocity of light in the medium and give rise to a sequence of pulses in the output of the cavity.
The case of longitudinal patterns is intrinsically linked to the phenomenon of “Kerr frequency combs” in microresonators, discovered in 2007 by Tobias Kippenberg and collaborators,[8] that has raised a very lively interest, especially because of the applicative avenue it has opened.
The LLE equation
Figure 1 shows a light beam that propagates in the direction, while and are the transverse directions. If we assume that the electric field as , where denotes time, is linearly polarized and therefore can be treated as a scalar, we can express it in terms of the slowly varying normalized complex envelope in this way

where is the frequency of the light beam that is injected into the cavity and of the light velocity in the Kerr medium that fills the cavity. For definiteness, consider a ring cavity (Fig. 2) of very high quality (High-Q cavity).

In the original LLE,[4] one assumes conditions such that the envelope is independent of the longitudinal variable (i.e. uniform along the cavity), so that . The equation reads
| 1 |
where and , are normalized temporal and spatial variables, i.e. , , , with being the cavity decay rate or cavity linewidth, the diffraction length in the cavity. is the cavity detuning parameter, with being the cavity frequency nearest to . In the righthand side of Eq.(1), is the normalized amplitude of the input field that is injected into the cavity, the second is the decay term, the third is the detuning term, the fourth is the cubic nonlinear term that takes into account the Kerr medium, the last term with the transverse Laplacian describes diffraction in the paraxial approximation. Conditions of self-focusing are assumed.
We refer to Eq.(1) as the transverse LLE. Some years later than,[4] there was the formulation of the longitudinal LLE, in which diffraction is replaced by dispersion.[9][10] In this case one assumes that the envelope is independent of the transverse variables and , so that . The longitudinal LLE reads
| 2 |
with , where depends, in particular on the dispersion parameter at second order. Conditions of anomalous dispersion are assumed. An important point is that, once is obtained by solving Eq.(2), one must come back to the original variables and replace by , so that a -dependent stationary solution (stationary pattern) becomes a travelling pattern (with velocity ).
From a mathematical viewpoint, the LLE amounts to a driven, damped, detuned nonlinear Schroedinger equation.
The transverse LLE (1) is in 2D from the spatial viewpoint. In a waveguide configuration depends only on one spatial variable, say , and the transverse Laplacian is replaced by and one has the transverse LLE in 1D. The longitudinal LLE (2) is equivalent to the transverse LLE in 1D.
In some papers dealing with the longitudinal case one considers dispersion beyond the second order, so that Eq.(2) includes also terms with derivatives of order higher than second with respect to .
Uniform stationary solutions. Connection with optical bistability. Four-wave mixing and pattern formation.

Let us focus on the case in which the envelope is constant, i.e. on the stationary solutions that are independent of all spatial variables. By dropping all derivatives in Eqs.(1) and (2), and taking the squared modulus, one obtains the stationary equation
| 3 |
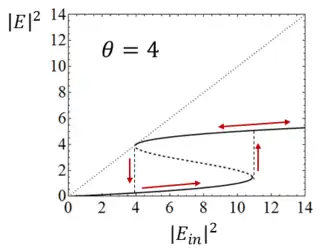
If we plot the stationary curve of as a function of , when we obtain a curve as that shown in Fig.3.
The curve is -shaped and there is an interval of values of where one has three stationary states. However, the states that lie in the segment with negative slope are unstable, so that in the interval there are two coexisting stable stationary states: this phenomenon is called optical bistability.[11] If the input intensity is increased and then decreased, one covers a hysteresis cycle.
If we refer to the modes of the empty cavity, in the case of the uniform stationary solutions described by Eq.(3) the electric field is singlemode, corresponding to the mode of frequency quasi-resonant with the input frequency .
In the transverse configuration of Eq.(1), in the case of these stationary solutions E corresponds to a singlemode plane wave with , where and are the transverse components of the wave vector, exactly as the input field .
The cubic Kerr nonlinearity of Eqs.(1) and (2) gives rise to four-wave mixing (FWM), which can generate other modes, so that the envelope displays a spatial pattern: in the transverse plane in the case of Eq.(1), along the cavity in the case of Eq.(2).
Transverse patterns and cavity solitons
In the transverse case of Eq.(1) the pattern arises from the interplay of FWM and diffraction. The FWM can give rise, for example, to processes in which pairs of photons with are absorbed and, simultaneously, the system emits pairs of photons with , and , in such a way that the total energy of photons, and their total momentum, are conserved (Fig.4).

Actually further FWM processes enter into play, so that assumes the configuration of a hexagonal pattern [12](see Fig.5).

A pattern displays an ordered array of intensity peaks. It is possible to generate also isolated intensity peaks,[13] that are called cavity solitons (see Fig. 6). Since cavity solitons can be “written”and “erased” one by one in the transverse plane like in a blackboard, they are of great interest for applications to optical information processing and telecommunications.

Longitudinal patterns and cavity solitons
In the longitudinal case of Eq.(2) the patterns arise from the interplay between FWM and dispersion. The FWM can give rise, for example, to processes in which pairs of photons of the longitudinal mode quasi-resonant with are absorbed and, simultaneously, the system emits photon pairs corresponding to cavity modes symmetrically adjacent to the quasi-resonant mode, in such a way that the total photon energy, as well as the total longitudinal photon momentum, are conserved.

Figure 7 shows an example of the patterns that are generated, and travel along the cavity and out of the cavity. Like in the transverse case, also in the longitudinal configuration single or multiple Kerr cavity solitons can be generated; Figure 8 illustrates the case of a single cavity soliton that circulates in the cavity and produces a sequence of narrow pulses in the output. Such solitons have been observed for the first time in a fiber cavity.[14]

It is important to note that the instability which originates longitudinal patterns and cavity solitons in the LLE is a special case of the multimode instability of optical bistability, predicted by Bonifacio and Lugiato in [15] and first observed experimentally in.[16]
Microresonator Kerr frequency combs and cavity solitons
Optical frequency combs constitute an equidistant set of laser frequencies that can be employed to count the cycles of light. This technique, introduced by Theodor Haensch[17] and John Hall[18] using mode-locked lasers, has led to myriad applications. The work [8] demonstrated the realization of broadband optical frequency combs exploiting the whispering gallery modes activated by a CW laser field injected into a high-Q microresonator filled with a Kerr medium, that gives rise to FWM. Since that time Kerr frequency combs (KFC), whose bandwidth can exceed an octave with repetition rates in the microwave to THz frequencies, have been generated in a wide variety of microresonators; for reviews on this subject see e.g.[19][20] They offer substantial potential for miniaturization and chip-scale photonic integration, as well as for power reduction. Today KFC generation is a mature field, and this technology has been applied to several areas, including coherent telecommunications, spectroscopy, atomic clocks as well as laser ranging and astrophysical spectrometer calibration.
A key impetus to these developments has been the realization of Kerr cavity solitons in microresonators,[21] opening the possibility of utilizing Kerr cavity solitons in photonic integrated microresonators.
The longitudinal LLE (2) provides a spatio-temporal picture of the involved phenomena, but from the spectral viewpoint its solutions correspond to KFC. The link between the topic of optical KFC and the LLE was theoretically developed in.[21][22][23][24][25] These authors showed that the LLE (or generalizations including higher order dispersion terms) is the model which describes the generation of KFC and is capable of predicting their properties when the system parameters are varied. The spontaneous formation of spatial patterns and solitons travelling along the cavity described by the LLE is the spatiotemporal equivalent of the frequency combs and governs their features. The rather idealized conditions assumed in the formulation of the LLE, especially the high-Q condition, have been perfectly materialized by the spectacular technological progress that has occurred in the meantime in the field of photonics and has led, in particular, to the discovery of KFC.
The Suchkov-Letokhov equation
The averaging over longitudinal coordinate results in the "mean-field" SLE equation where longitudinal derivative is absent:
.
Rigorous procedure [26] demonstrated that this precursor of LLE is applicable to modeling of the nonstationary evolution of the transverse mode pattern in the Disk laser (1966) . Under condition of stationary Kerr nonlinearity SLE reduces to LLE.
Quantum aspects
The two photons that, as shown in Fig.4, are emitted in symmetrically tilted directions in the FWM process, are in a state of quantum entanglement: they are precisely correlated, for example in energy and momentum. This fact is fundamental for the quantum aspects of optical patterns. For instance, the difference between the intensities of the two symmetrical beams is squeezed, i.e. exhibits fluctuations below the shot noise level;[27] the longitudinal analogue of this phenomenon has been observed experimentally in KFC.[28] In turn, such quantum aspects are basic for the field of quantum imaging.[29][30]
Review articles
For reviews on the subject of the LLE, see also.[31][32][33]
See also
- Four-wave mixing
- Frequency comb
- Kerr frequency comb
- Nonlinear Schroedinger equation
- Optical bistability
- Pattern formation
- Disk laser
References
- ^ Siegman, Anthony E. (1986). Lasers. University Science Books. p. 2. ISBN 978-0-935702-11-8.
- ^ Kryukov, P G; Letokhov, V S (1970). "Propagation of a Light pulse in a Resonantly amplifying (absorbing) medium". Sov. Phys. Usp. 12 (5): 641–672. doi:10.1070/PU1970v012n05ABEH003957.
- ^ Suchkov, A F (1966). "Effect of inhomogeneities on the operation regime of solid-state lasers". Sov. Phys. JETP. 22 (5): 1026. Bibcode:1966JETP...22.1026S.
- ^ a b c Lugiato, L.A.; Lefever, R. (1987). "Spatial Dissipative Structures in Passive Optical Systems". Physical Review Letters. 58 (21): 2209–2211. Bibcode:1987PhRvL..58.2209L. doi:10.1103/PhysRevLett.58.2209. PMID 10034681.
- ^ Turing, A.M.. (1952). "The chemical basis of morphogenesis". Philosophical Transactions of the Royal Society of London B: Biological Sciences. 237 (641): 37–72. Bibcode:1952RSPTB.237...37T. doi:10.1098/rstb.1952.0012.
- ^ Nicolis, G.; Prigogine, I. (1977). Self-organization in nonequilibrium systems. From dissipative structures to order through fluctuations. Wiley, New York. ISBN 978-0471024019.
- ^ Haken, H. (1983). Self-organization in nonequilibrium systems. From dissipative structures to order through fluctuations. Berlin: Springer Verlag. ISBN 978-3-642-88338-5.
- ^ a b Del’Haye, P.; Schliesser, A.; Arcizet, O.; Wilken, T.; Holzwarth, R.; Kippenberg, T.J. (2007). "Optical frequency comb generation from a monolithic microresonator". Nature. 450 (7173): 1214–1217. arXiv:0708.0611. Bibcode:2007Natur.450.1214D. doi:10.1038/nature06401. PMID 18097405. S2CID 4426096.
- ^ Haelterman, M.; Trillo, S.; Wabnitz, S. (1992). "Dissipative modulation instability in a nonlinear dispersive ring cavity". Optics Communications. 91 (5–6): 401–407. Bibcode:1992OptCo..91..401H. doi:10.1016/0030-4018(92)90367-Z.
- ^ Brambilla, M.; Castelli, F.; Gatti, A.; Lugiato, L.A.; Prati, F. (1993). "Instabilities and quantum-noise reduction in nonlinear-optical mixing". SUSSP Proceedings. 41: 115–136.
- ^ Gibbs, H.M. (1985). Optical bistability: controlling light by light. Academic Press, Inc., Orlando, Florida. ISBN 978-0122819407.
- ^ Gomila, D.; Jacobo, A.; Matias, M.A.; Colet, P. (2007). "Phase-space structure of two-dimensional excitable localized structures" (PDF). Physical Review E. 75 (2): 026217. arXiv:nlin/0703011. Bibcode:2007PhRvE..75b6217G. doi:10.1103/PhysRevE.75.026217. hdl:10261/6146. PMID 17358415. S2CID 38460064.
- ^ Scroggie, A.J.; Firth, W.J.; McDonald s, G.S.; Tlidi, M.; Lugiato, L.A.; Lefever, R. (1994). "Pattern formation in a passive Kerr cavity". Chaos, Solitons and Fractals. 4 (8–9): 1323–1354. Bibcode:1994CSF.....4.1323S. CiteSeerX 10.1.1.594.1475. doi:10.1016/0960-0779(94)90084-1.
- ^ Leo, F.; Coen, S.; Kockaert, P.; Gorza, S.P.; Emplit, P.; Haelterman, M. (2010). "Temporal cavity solitons in one-dimensional Kerr media as bits in an all-optical buffer". Nature Photonics. 4 (7): 471–476. Bibcode:2010NaPho...4..471L. doi:10.1038/nphoton.2010.120.
- ^ Bonifacio, R.; Lugiato, L.A. (1978). "Instabilities for a coherently driven absorber in a ring cavity". Lettere al Nuovo Cimento. 21 (15): 510–516. doi:10.1007/bf02763162. S2CID 120619908.
- ^ Segard, B.; Macke, B. (1988). "Self-pulsing in intrinsic optical bistability with two-level molecules". Physical Review Letters. 60 (5): 412–415. Bibcode:1988PhRvL..60..412S. doi:10.1103/PhysRevLett.60.412. PMID 10038540.
- ^ Udem, T.; Holzwarth, R.; Hänsch t, T.W. (2002). "Optical frequency metrology". Nature. 416 (6877): 233–237. Bibcode:2002Natur.416..233U. doi:10.1038/416233a. hdl:11858/00-001M-0000-000F-C239-D. PMID 11894107. S2CID 4416086.
- ^ Jones, D.J.; Diddams, S.A.; Ranka, J.K.; Stentz, A.; Windeler, R.S.; Hall, J.L.; Curdiff, S.T. (2000). "Carrier-envelope phase control of femtosecond mode-locked lasers and direct optical frequency synthesis". Science. 288 (5466): 635–639. Bibcode:2000Sci...288..635J. doi:10.1126/science.288.5466.635. PMID 10784441.
- ^ Herr, T.; Gorodetsky, M.L.; Kippenberg, T.J. (2015). "Chap. 6 : Dissipative Kerr Solitons in Optical Microresonators". In Grelu, Philippe (ed.). Nonlinear Optical Cavity Dynamics: From Microresonators to Fiber Lasers. Wiley-VCH Verlag GmbH. pp. 129–162. arXiv:1508.04989. doi:10.1002/9783527686476.ch6. ISBN 9783527413324.
- ^ Chembo, Y.K. (2016). "Kerr optical frequency combs: theory, applications and perspectives". Nanophotonics. 5 (2): 214–230. Bibcode:2016Nanop...5...13C. doi:10.1515/nanoph-2016-0013.
- ^ a b Herr, T.; Brasch, V.; Jost, J.D.; Wang, C.Y.; Kondratiev, N.M.; Gorodetsky, M.L.; Kippenberg, T.J. (2014). "Temporal solitons in optical microresonators". Nature Photonics. 8 (2): 145–152. arXiv:1211.0733. Bibcode:2014NaPho...8..145H. doi:10.1038/nphoton.2013.343. S2CID 118546909.
- ^ Matsko, A.B.; Savchenkov, A.A.; Liang, W.; Ilchenko, V.S.; Seidel, D.; Maleki, L. (2011). "Mode-locked Kerr frequency combs". Optics Letters. 36 (15): 2845–7. Bibcode:2011OptL...36.2845M. doi:10.1364/OL.36.002845. PMID 21808332.
- ^ Herr, T.; Brasch, V.; Gorodetsky, M.L.; Kippenberg, T.J. (2012). "Soliton mode-locking in optical microresonators". arXiv:1211.0733v1 [physics.optics]. (arXiv version of Ref.18)
- ^ Chembo, Y.K.; Menyuk, C.R. (2013). "Spatiotemporal Lugiato-Lefever formalism for Kerr-comb generation in whispering-gallery-mode resonators". Physical Review A. 87 (5): 053852. arXiv:1210.8210. Bibcode:2013PhRvA..87e3852C. doi:10.1103/PhysRevA.87.053852. S2CID 16050188.
- ^ Coen, S.; Randle, H.G.; Sylvestre, T.; Erkintalo, M. (2013). "Modeling of octave spanning Kerr frequency combs using a generalized mean-field Lugiato Lefever model". Optics Letters. 38 (1): 37–39. arXiv:1211.1697. Bibcode:2013OptL...38...37C. doi:10.1364/OL.38.000037. PMID 23282830. S2CID 7248349.
- ^ Letokhov, V S; Suchkov, A F (1966). "Generation Dynamics of a Giant Coherent Light Pulse". Sov. Phys. JETP. 23 (4): 764. Bibcode:1966JETP...23..764L.
- ^ Lugiato, L.A.; Castelli, F. (1992). "Quantum noise-reduction in a spatial dissipative structure". Physical Review Letters. 68 (22): 3284–3286. Bibcode:1992PhRvL..68.3284L. doi:10.1103/PhysRevLett.68.3284. PMID 10045663.
- ^ Dutt, A.; Luke, K.; Manipatruni, S.; Gaeta, A.L.; Nussenzveig, P.; Lipson, M. (2015). "On-chip optical squeezing". Physical Review Applied. 3 (4): 044005. arXiv:1309.6371. Bibcode:2015PhRvP...3d4005D. doi:10.1103/PhysRevApplied.3.044005. S2CID 16013174.
- ^ Gatti, A.; Brambilla, E.; Lugiato, L.A. (2008). "Chapter 5 Quantum imaging". In Wolf, E. (ed.). Progress in Optics Volume 51. Vol. LI. pp. 251–348. doi:10.1016/S0079-6638(07)51005-X. ISBN 9780444532114.
- ^ Kolobov, M.I. (1999). "The spatial behavior of nonclassical light". Reviews of Modern Physics. 71 (5): 1539–1589. Bibcode:1999RvMP...71.1539K. doi:10.1103/RevModPhys.71.1539.
- ^ Lugiato, L.A.; Prati, F.; Brambilla, M. (2015). "Chapter 28: The Lugiato Lefever Model". Nonlinear Optical Systems. Cambridge University Press. doi:10.1017/CBO9781107477254.032. ISBN 9781107477254.
- ^ Castelli, F.; Brambilla, M.; Gatti, M.; Prati, F.; Lugiato, L.A. (2017). "The LLE, pattern formation and a novel coherent source" (PDF). The European Physical Journal D. 71 (4): 84. Bibcode:2017EPJD...71...84C. doi:10.1140/epjd/e2017-70754-1. hdl:2434/502714. S2CID 126088543.
- ^ Lugiato, L.A.; Prati, F.; Gorodetsky, M.L.; Kippenberg, T.J. "From the LLE to microresonator based soliton Kerr frequency combs". Philosophical Transactions of the Royal Society of London A.