Skimmianine

Skimmianine
Names
Preferred IUPAC name
4,7,8-Trimethoxyfuro[2,3-b]quinoline
Other names
Skimmianin; β-Fagarine; Chloroxylonine
Identifiers
3D model (JSmol)
ChEBI
ChEMBL
ChemSpider
EC Number
  • 110-051-1
KEGG
UNII
  • InChI=1S/C14H13NO4/c1-16-10-5-4-8-11(13(10)18-3)15-14-9(6-7-19-14)12(8)17-2/h4-7H,1-3H3
    Key: SLSIBLKBHNKZTB-UHFFFAOYSA-N
  • COC1=C(C2=C(C=C1)C(=C3C=COC3=N2)OC)OC
Properties
C14H13NO4
Molar mass 259.261 g·mol−1
Melting point 177 °C (351 °F; 450 K)[1]
Hazards
GHS labelling:[1]
GHS07: Exclamation mark
Warning
H302, H315, H319
P264, P264+P265, P270, P280, P301+P317, P302+P352, P305+P351+P338, P321, P330, P332+P317, P337+P317, P362+P364, P501
Except where otherwise noted, data are given for materials in their standard state (at 25 °C [77 °F], 100 kPa).
Infobox references

Skimmianine is a furoquinoline alkaloid found in Skimmia japonica, a flowering plant in family Rutaceae that is native to Japan and China. It is a known acetylcholinesterase inhibitor.[2]

Biosynthesis

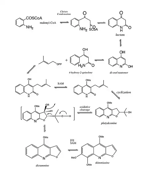
The biosynthesis of skimmianine starts from anthranilic acid,[3] which is very abundant in the family Rutaceae. By combining anthranilic acid acetate, anthraniloyl-CoA is formed as a starting unit and able to extend side chain by adding malonyl-CoA by Claisen condensation. Next, lactam is formed through the cyclization and generate a heterocyclic system, leading the dienol tautomer adopt the 4-hydroxy quinolone tautomer, which is 4-hydroxy-2-quinolone.

With the formation of quinolone, alkylation is happening at C-3 position by introducing dimethylallyl diphosphate. Another key step is the cyclization on the dimethylallyl sidechain, forming a new heterocyclic five-member-ring.[4] Platydesmine is then forming an intermediate through the oxidative cleavage reaction[5] by losing an isopropyl group to form dictamine. Finally, skimmianine is formed through the hydroxylation of dictamine.

Biosynthesis of skimmianine

References

  1. ^ "Chemistry Dashboard". comptox.epa.gov. Retrieved 2019-06-10.
  2. ^ Yang, Zhong-duo; Zhang, Dong-bo; Ren, Jin; Yang, Ming-jun (2012). "Skimmianine, a furoquinoline alkaloid from Zanthoxylum nitidum as a potential acetylcholinesterase inhibitor". Medicinal Chemistry Research. 21 (6): 722–725. doi:10.1007/s00044-011-9581-9. S2CID 14113860.
  3. ^ "Compounds Derived from Anthranilic Acid". Alkaloids. 2015. pp. 163–180. doi:10.1016/B978-0-12-417302-6.00009-X. ISBN 9780124173026.
  4. ^ Manske, R. H. (1960). The alkaloids: Chemistry and physiology. New York: Academic Press.
  5. ^ Guengerich, F. Peter; Yoshimoto, Francis K. (2018). "Formation and Cleavage of C–C Bonds by Enzymatic Oxidation–Reduction Reactions". Chemical Reviews. 118 (14): 6573–6655. doi:10.1021/acs.chemrev.8b00031. PMC 6339258. PMID 29932643.